MOG(1-125)
DT3C
ADP 激酶检测
pH敏感型内吞检测
T细胞激活
MHC-I 四聚体
Klotho
历史搜索
清空记录
注册
登录
CN
EN
CN
首页
产品
解决方案
定制服务
促销中心
技术资源
发表文献
关于我们
产品中心
药物靶点和Fc受体
同型对照
所有图片
(1/1)
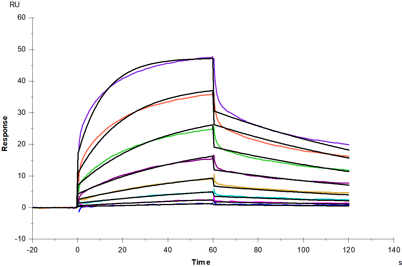
IgG3 Fc Protein, Human
Ig gamma-3 chain C region,IgG3 Fc
Datasheet
COA
价格
¥
650
.00
(
供应商现货 :
3-5个工作日
)
货号
UA050005
规格
50μg
100μg
500μg
1mg
数量
大包装询价
提交订单
收藏
分享
大包装咨询
订单信息
COA下载
产品介绍
评论(0)
产品介绍
货号
产品名称
种属
表达系统
数量
评论(0)
0571-87565022
order@ua-bio.com
联系我们
评论(0)